Les résultats de cette section sont à connaître par c
ur :
ils vous permettent de calculer les dérivées de toutes les fonctions
que vous rencontrerez, à partir d'un petit nombre de dérivées
usuelles.
Théorème 1
Soient
et
deux fonctions définies sur un intervalle
contenant
. On suppose que
et
sont dérivables en
. Alors :
est dérivable en
, de dérivée
est dérivable en
, de dérivée
.
Comme cas particulier du point
, si
est une constante, la
dérivée de
est
.
Démonstration : Par hypothèse,

et
- Écrivons le taux d'accroissement de la somme.
Comme la limite de la somme est la somme des limites, le résultat
s'ensuit.
- Écrivons le taux d'accroissement du produit.
Comme
est dérivable, elle est continue en
, donc
tend
vers
quand
tend vers
. La limite d'un produit est le
produit des limites, idem pour la somme. D'où le résultat.
Le théorème 1, combiné avec la
proposition 3, entraîne en particulier que toute
fonction polynôme est dérivable sur
.
Démonstration : Par hypothèse, les taux d'accroissement de
en
et de
en
convergent :

et
Nous allons utiliser en plus les conséquences suivantes :
- C1 :
est continue en
,
- C2 :
- si
alors
au voisinage de
,
- C3 :
- le taux d'accroissement de
est borné au voisinage de
.
L'idée consiste à écrire le taux d'accroissement de
en
comme un produit de deux taux :
avec :

et
Évidemment,
n'est défini que si
. Mais
si
, alors
.
Considérons d'abord le cas où
. Dans ce cas,
tend vers 0, et comme conséquence de C1 et C3, il existe un
intervalle
et une constante
telle que :
Donc
converge vers 0.
Considérons maintenant le cas où
. Comme
conséquence de C2,
est bien défini au voisinage de
. La convergence de
vers
découle de la
dérivabilité de
et de la continuité de
(composition des
limites).
D'après la proposition 3, appliquée à la
fonction inverse
, celle-ci est dérivable en tout
point
où elle est définie, et
. On déduit du
théorème 2
que si
est dérivable et ne s'annule pas en
, alors son
inverse
est dérivable, de dérivée
En combinant ceci avec la formule donnant la dérivée d'un produit,
on obtient la dérivée d'un quotient.
Attention à ne pas confondre l'inverse
avec la fonction
réciproque
dans le cas où
est bijective.
Démonstration : Pour tout point
de
, il existe un unique
tel que
.
Écrivons le taux d'accroissement de
en
: pour tout
,
Puisque
est continue en
,
est continue en
, et donc
Les théorèmes de cette section permettent de démontrer
la dérivabilité de toutes les fonctions que vous aurez
à examiner, à condition d'admettre la dérivabilité
des «briques de base» que sont les fonctions usuelles.
Toutes les fonctions usuelles sont dérivables en tout
point
d'un intervalle ouvert où elles sont définies.
Ceci concerne les fonctions polynômes, fractions rationnelles,
puissances, exponentielle, logarithme,
sinus, cosinus, mais exclut bien sûr la valeur absolue.
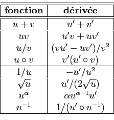
Voici un tableau récapitulatif des
formules de dérivation à connaître par c
ur.
Les dérivées suivantes doivent être connues.
La connaissance des dérivées usuelles, permet, en appliquant la
définition 2, de calculer des limites de taux
d'accroissement.
À titre d'exemple, nous donnons
ci-dessous trois limites à connaître.
Démonstration : Les trois limites sont démontrées dans l'ordre.
- La dérivée de la fonction sinus en 0 est
. Son taux
d'accroissement en 0 est :
D'où le résultat.
- La dérivée de la fonction exponentielle en 0 est
. Son taux
d'accroissement en 0 est :
D'où le résultat.
- La dérivée de la fonction
en 0
est
. Son taux
d'accroissement en 0 est :
D'où le résultat.
© UJF Grenoble, 2011
Mentions légales